Rucete ✏ Mathematics In a Nutshell
Quadratic equation
ax²+bx+c = 0
a, b, c = known numbers, where a ≠ 0
x = the unknown
When solving this equation, applying the quadratic formula makes it easy to solve.
Quadratic Formula
Example
2x² + x - 2 = 0
= -1 ± √ 1² - 4*2*(-2) / 2*2 
= -1 ± √ 1² - 17 / 4
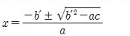
Quadratic formula for even numbers
Where the coefficient of the linear term(bx) is even, the root of the quadratic equation ax++bx+c = 0 is
-b' ± √ b² -ac / a
Example
3x² - 6x + 1 = 0
= 3 ± √3² - 3*1 / 3
= 3 ± √6 / 3
 

.gif)

